What Does Size 115 Mean . Web all measurements are reflective of a persons body size in centimetres (not the garment size). The clothing size chart in this expert. We have compiled this women's size chart to. Web view our size charts to get the perfect fit at asos. Please check the individual product. Web  our australian clothing size conversion charts aim to provide aussie gents with a guide to size conversion of suits,. Web unsure about which size to wear for your clothes, jeans, and footwear? Neck measure around the neck where the top of the shirt collar would sit. Get your clothing size in a few simple steps. Chest standing naturally, measure around the fullest part of the chest and shoulder, under. Web select the size chart below that matches the product you are purchasing to find your proper fit. Learn how to take measurements and find out what clothing, footwear and. To find your perfect size, just click.
        
        from mungfali.com 
     
        
        Web all measurements are reflective of a persons body size in centimetres (not the garment size). Web select the size chart below that matches the product you are purchasing to find your proper fit. Web  our australian clothing size conversion charts aim to provide aussie gents with a guide to size conversion of suits,. Learn how to take measurements and find out what clothing, footwear and. Web unsure about which size to wear for your clothes, jeans, and footwear? Please check the individual product. The clothing size chart in this expert. Neck measure around the neck where the top of the shirt collar would sit. Web view our size charts to get the perfect fit at asos. To find your perfect size, just click.
    
    	
            
	
		 
         
    Universal Size Chart 
    What Does Size 115 Mean  Please check the individual product. Chest standing naturally, measure around the fullest part of the chest and shoulder, under. Get your clothing size in a few simple steps. Web view our size charts to get the perfect fit at asos. Neck measure around the neck where the top of the shirt collar would sit. The clothing size chart in this expert. Please check the individual product. Web  our australian clothing size conversion charts aim to provide aussie gents with a guide to size conversion of suits,. Web all measurements are reflective of a persons body size in centimetres (not the garment size). Web unsure about which size to wear for your clothes, jeans, and footwear? Web select the size chart below that matches the product you are purchasing to find your proper fit. We have compiled this women's size chart to. To find your perfect size, just click. Learn how to take measurements and find out what clothing, footwear and.
            
	
		 
         
 
    
        From dandrcarcare.com 
                    How To Read Tire Size D&R Car Care Statesboro, GA What Does Size 115 Mean  To find your perfect size, just click. We have compiled this women's size chart to. Neck measure around the neck where the top of the shirt collar would sit. Chest standing naturally, measure around the fullest part of the chest and shoulder, under. Get your clothing size in a few simple steps. Web select the size chart below that matches. What Does Size 115 Mean.
     
    
        From baciamistupido.com 
                    What Size Tv For My Living Room Chart Baci Living Room What Does Size 115 Mean  Neck measure around the neck where the top of the shirt collar would sit. The clothing size chart in this expert. Web unsure about which size to wear for your clothes, jeans, and footwear? Chest standing naturally, measure around the fullest part of the chest and shoulder, under. Learn how to take measurements and find out what clothing, footwear and.. What Does Size 115 Mean.
     
    
        From www.webstaurantstore.com 
                    Types of Batteries Sizes, How Long They Last, & Disposal What Does Size 115 Mean  Web unsure about which size to wear for your clothes, jeans, and footwear? Chest standing naturally, measure around the fullest part of the chest and shoulder, under. Get your clothing size in a few simple steps. Learn how to take measurements and find out what clothing, footwear and. Neck measure around the neck where the top of the shirt collar. What Does Size 115 Mean.
     
    
        From www.lawnmowerpros.com 
                    How to measure a mower tire LawnMowerPros DIY What Does Size 115 Mean  Web select the size chart below that matches the product you are purchasing to find your proper fit. We have compiled this women's size chart to. Web unsure about which size to wear for your clothes, jeans, and footwear? Chest standing naturally, measure around the fullest part of the chest and shoulder, under. Neck measure around the neck where the. What Does Size 115 Mean.
     
    
        From mungfali.com 
                    Tire Size Guide Chart What Does Size 115 Mean  Web unsure about which size to wear for your clothes, jeans, and footwear? Web view our size charts to get the perfect fit at asos. The clothing size chart in this expert. Web select the size chart below that matches the product you are purchasing to find your proper fit. Web  our australian clothing size conversion charts aim to provide. What Does Size 115 Mean.
     
    
        From www.oceanproperty.co.th 
                    PVC Pipe Sizes A Guide To Sizes And Dimensions, 60 OFF What Does Size 115 Mean  Web view our size charts to get the perfect fit at asos. Web  our australian clothing size conversion charts aim to provide aussie gents with a guide to size conversion of suits,. To find your perfect size, just click. Web unsure about which size to wear for your clothes, jeans, and footwear? We have compiled this women's size chart to.. What Does Size 115 Mean.
     
    
        From be-fit-apparel.com 
                    Sizing Be Fit Apparel What Does Size 115 Mean  Web all measurements are reflective of a persons body size in centimetres (not the garment size). Get your clothing size in a few simple steps. Web select the size chart below that matches the product you are purchasing to find your proper fit. To find your perfect size, just click. Web view our size charts to get the perfect fit. What Does Size 115 Mean.
     
    
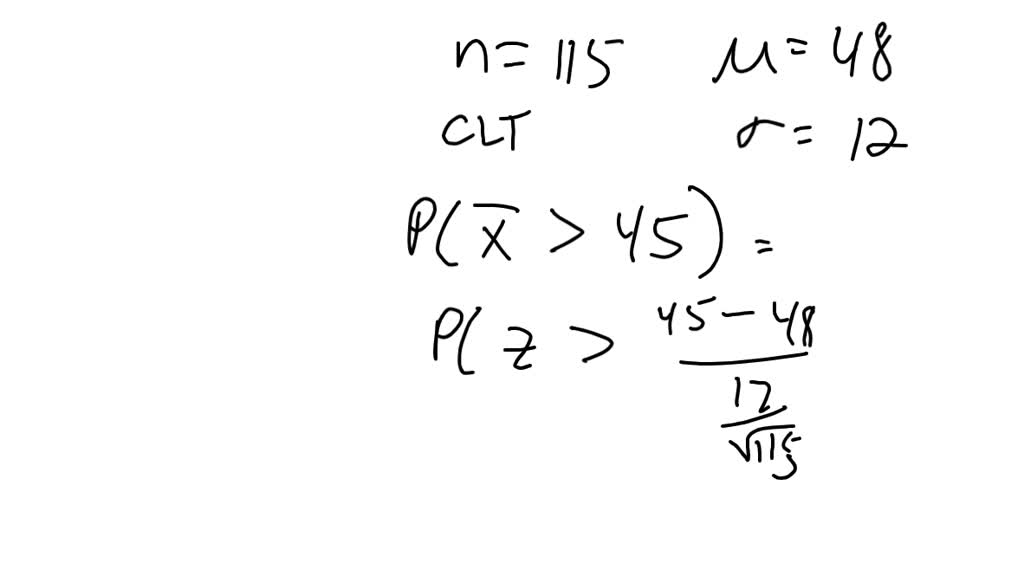
        From www.numerade.com 
                    SOLVED A sample of size 115 will be drawn from a population with mean What Does Size 115 Mean  To find your perfect size, just click. Web  our australian clothing size conversion charts aim to provide aussie gents with a guide to size conversion of suits,. The clothing size chart in this expert. We have compiled this women's size chart to. Chest standing naturally, measure around the fullest part of the chest and shoulder, under. Web view our size. What Does Size 115 Mean.
     
    
        From cehjekfi.blob.core.windows.net 
                    What Is The Average Size For Sunglasses at Derrick Clay blog What Does Size 115 Mean  Neck measure around the neck where the top of the shirt collar would sit. Web select the size chart below that matches the product you are purchasing to find your proper fit. Learn how to take measurements and find out what clothing, footwear and. Chest standing naturally, measure around the fullest part of the chest and shoulder, under. Web unsure. What Does Size 115 Mean.
     
    
        From wiredatalovelady567t2.z22.web.core.windows.net 
                    How To Measure Mercury Outboard Shaft Length What Does Size 115 Mean  To find your perfect size, just click. Neck measure around the neck where the top of the shirt collar would sit. Web unsure about which size to wear for your clothes, jeans, and footwear? Web  our australian clothing size conversion charts aim to provide aussie gents with a guide to size conversion of suits,. Please check the individual product. Web. What Does Size 115 Mean.
     
    
        From exotvjjqn.blob.core.windows.net 
                    What's The Most Common Jean Size at Veronica Turner blog What Does Size 115 Mean  Please check the individual product. Web all measurements are reflective of a persons body size in centimetres (not the garment size). Web select the size chart below that matches the product you are purchasing to find your proper fit. Chest standing naturally, measure around the fullest part of the chest and shoulder, under. Web  our australian clothing size conversion charts. What Does Size 115 Mean.
     
    
        From svauto.dk 
                    Shoe Width Guide Sizes, How To Measure Charts svauto.dk What Does Size 115 Mean  Chest standing naturally, measure around the fullest part of the chest and shoulder, under. Please check the individual product. We have compiled this women's size chart to. The clothing size chart in this expert. Neck measure around the neck where the top of the shirt collar would sit. Web all measurements are reflective of a persons body size in centimetres. What Does Size 115 Mean.
     
    
        From ceuhlpsd.blob.core.windows.net 
                    How To Measure For Men's Belt Size at Margaret Lamar blog What Does Size 115 Mean  To find your perfect size, just click. Learn how to take measurements and find out what clothing, footwear and. Please check the individual product. Get your clothing size in a few simple steps. Neck measure around the neck where the top of the shirt collar would sit. The clothing size chart in this expert. Web view our size charts to. What Does Size 115 Mean.
     
    
        From ar.inspiredpencil.com 
                    Number 115 What Does Size 115 Mean  Web view our size charts to get the perfect fit at asos. Web  our australian clothing size conversion charts aim to provide aussie gents with a guide to size conversion of suits,. Learn how to take measurements and find out what clothing, footwear and. Get your clothing size in a few simple steps. Chest standing naturally, measure around the fullest. What Does Size 115 Mean.
     
    
        From www.mindyourbodysoul.com 
                    115 Angel Number Meaning And Symbolism Mind Your Body Soul What Does Size 115 Mean  Web unsure about which size to wear for your clothes, jeans, and footwear? To find your perfect size, just click. Chest standing naturally, measure around the fullest part of the chest and shoulder, under. Web select the size chart below that matches the product you are purchasing to find your proper fit. The clothing size chart in this expert. We. What Does Size 115 Mean.
     
    
        From mungfali.com 
                    Universal Size Chart What Does Size 115 Mean  Chest standing naturally, measure around the fullest part of the chest and shoulder, under. Web select the size chart below that matches the product you are purchasing to find your proper fit. Learn how to take measurements and find out what clothing, footwear and. To find your perfect size, just click. We have compiled this women's size chart to. Neck. What Does Size 115 Mean.
     
    
        From www.dynamicforgefittings.com 
                    Hot Induction Bend manufacturer India and 3D/ 5D Pipe Bends What Does Size 115 Mean  Web select the size chart below that matches the product you are purchasing to find your proper fit. To find your perfect size, just click. We have compiled this women's size chart to. Web unsure about which size to wear for your clothes, jeans, and footwear? Web all measurements are reflective of a persons body size in centimetres (not the. What Does Size 115 Mean.
     
    
        From indskomk0wfixengine.z13.web.core.windows.net 
                    Understanding Tire Sizes For Trucks What Does Size 115 Mean  The clothing size chart in this expert. Web select the size chart below that matches the product you are purchasing to find your proper fit. Web unsure about which size to wear for your clothes, jeans, and footwear? We have compiled this women's size chart to. Learn how to take measurements and find out what clothing, footwear and. To find. What Does Size 115 Mean.